Bir ışık demetinin iki dar yarığa çarptığında oluşturduğu girişim davranışı, elektron ve proton gibi parçacıklarda da gözlemlenmiş ve kuantum mekaniğindeki parçacıkların dalga doğasını ortaya koymuştur. Genellikle bu girişimler nanometre ölçeğindedir. ALICE işbirliği ile yapılan çalışmada, Büyük Hadron Çarpıştırıcısı’nda (LHC) kurşun çekirdekleri arasındaki ultra çevresel çarpışmaları kullanarak *femtometre ölçeğinde karşılaştırılabilir bir girişim deseni kaydedildi.
Çift Yarık Deneyi Nedir?
Çift yarık (Young) deneyinde ışığın dalga doğası sergilenir. Deneyde koherent (eş fazlı) bir ışık kaynağı birbirine paralel iki yarık levhasına tutulur ve bu yarıklardan geçen ışık, levhanın arkasındaki bir ekranda incelenir. Yarıklardan geçen ışık, dalga doğası sebebiyle bir girişim deseni oluşturur ve ekranda aydınlık – karanlık saçakların oluşmasını sağlar. Eğer ışık sadece parçacıklardan oluşsaydı gözlem levhasında yarığın büyüklüğüne ve şekline sahip bir desen görünürdü. Ancak bu deneyde bir girişim deseni oluştuğu için ışığın dalga özelliği ortaya çıkmıştır.
ALICE’ in Rolü
Ultra çevresel çarpışmalarda, iki ağır çekirdek çarpışmadan birbirine yakın geçer. İki çekirdek arasındaki dik mesafe (**etki parametresi) yarıçaplarının toplamından daha fazladır ve çekirdeklerden biri bir foton yayar. Bu foton bir kuark ve onun antimadde eşinden oluşan sanal bir çifte dönüşür. Bu çiftin diğer çekirdekle güçlü etkileşimleri vardır, bu da bir vektör mezonunun yayılmasına ve iki gluonun değiş tokuşuna neden olur (Şekil I).***Vektör mezon fotoprodüksiyonu, çarpışan çekirdeklerin iç yapısını incelemek için iyi bilinen bir tekniktir.

İki kurşun çekirdek gibi simetrik sistemlerin vektör mezon fotoprodüksiyonunda, hangi çekirdeğin foton hangisinin iki gluon yaydığını söylemek mümkün değildir. Güçlü kuvvetin çekirdek arasındaki kısa mesafesi ve sanal kuark-antikuark çifti nedeniyle, vektör mezonlar iyi ayrılmış iki çekirdekten birinin içinde veya yakınında üretilir. Vektör mezonları bu durumun ve kısa ömürlerinin bir sonucu olarak hızla diğer parçacıklara bozunurlar. Bu bozunma ürünleri kuantum-mekanik olarak dolaşık bir durum yaratarak çift yarıklı interferometredekine benzer bir girişim deseni ortaya çıkarır (Şekil I).

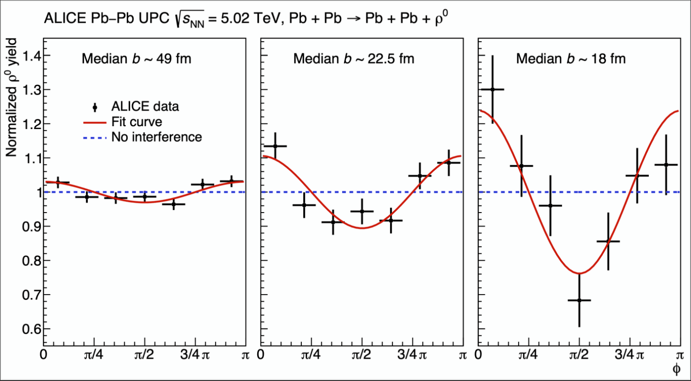
ALICE işbirliği yakın zamanda elektriksel olarak nötr rho vektör mezonunun (ρ0) fotoprodüksiyonunu inceledi. Girişim deseni, ρ0 veriminin bir cos(2φ) modülasyonudur; burada φ, ρ0’ın bozunduğu iki zıt yüklü pionun enine momentumlarının toplamı ve farkından oluşan iki vektör arasındaki açıdır. Etki parametresi düştükçe modülasyon gücünün artacağı öngörülmektedir.
ALICE ekibi, çeşitli çarpma parametresi değerleri için ρ0 veriminin cos(2φ) modülasyonunu LHC’nin 2. çalışması sırasında nükleon çifti (proton ve nötron) başına 5,02 ****teraelektronvolt ile kurşun-kurşun çarpışmalarında üretilen 57 bin ρ0 mezondan oluşan bir veri seti kullandı. Ölçümler, modülasyon gücünün femtometreler mertebesinde bir değere sahip olan etki parametresiyle önemli ölçüde değiştiğini ortaya koymuştur (Şekil II). Teorik hesaplamalar, bu modelin femtometre ölçeğindeki bir kuantum girişim etkisinden kaynaklandığını göstermektedir.
ALICE’in, LHC’nin mevcut 3. ve 4. çalışmaları sırasında kurşun-kurşun çarpışmalarından yaklaşık 15 milyon ρ0 mezonu yakalaması öngörülmektedir. Bu gelişmiş veri seti yardımıyla girişim etkisinin daha kapsamlı bir şekilde incelenmesi sağlanacaktır.
(*) Bir femtometre bir metrenin katrilyonda biridir.
(**) Etki parametresi, iki parçacığın biribiri ile girdiği bir çarpışma süresinde parçacıkların başlangıçta birbirlerine olan dik uzaklıklarının ölçüsüdür.
(***) Vektör mezon fotoprodüksiyonu, bir fotonun bir nükleonla (örneğin bir proton veya nötron) etkileşime girerek bir vektör mezon üretmesi sürecidir. Vektör mezonlar, spini 1 olan parçacıklardır ve ρ (rho), ω (omega) ve ϕ (fi) mezonları gibi parçacıkları içerir.
(****) Teraelektronvolt (TeV), enerjiyi ölçmek için kullanılan bir birimdir. 1 TeV = 10^12 eV
Haberin Kaynağı: home.cern/news/news/physics/alice-does-double-slit
Haberi Derleyen: Yaren Doruk

